• 「他山之石,可以攻錯」
        造山運動研究離不開山脈怎麼形成這個基本問題,廣義的板塊聚合與碰撞只是一個籠統且模糊的看法。地球上不同造山帶的形成機制與過程為何?我們該怎麼樣了解當中的細節?
        佔地殼體積比例最高的火成岩,若在形成山脈的過程中產生,理應能夠對造山過程提供一些線索。通過年代學與地球化學建立岩漿記錄,能有效地跟其他地質事件作對比,從而了解更多造山作用的細節。
        針對不同種類火成岩的定年方法略有不同,目前被廣泛使用的方法,大致上分為鋯石鈾-鉛同位素定年法與氬氬同位素定年法。常規的地球化學分析包含主要元素、次要元素與微量元素的含量,以及鍶-釹同位素比值。
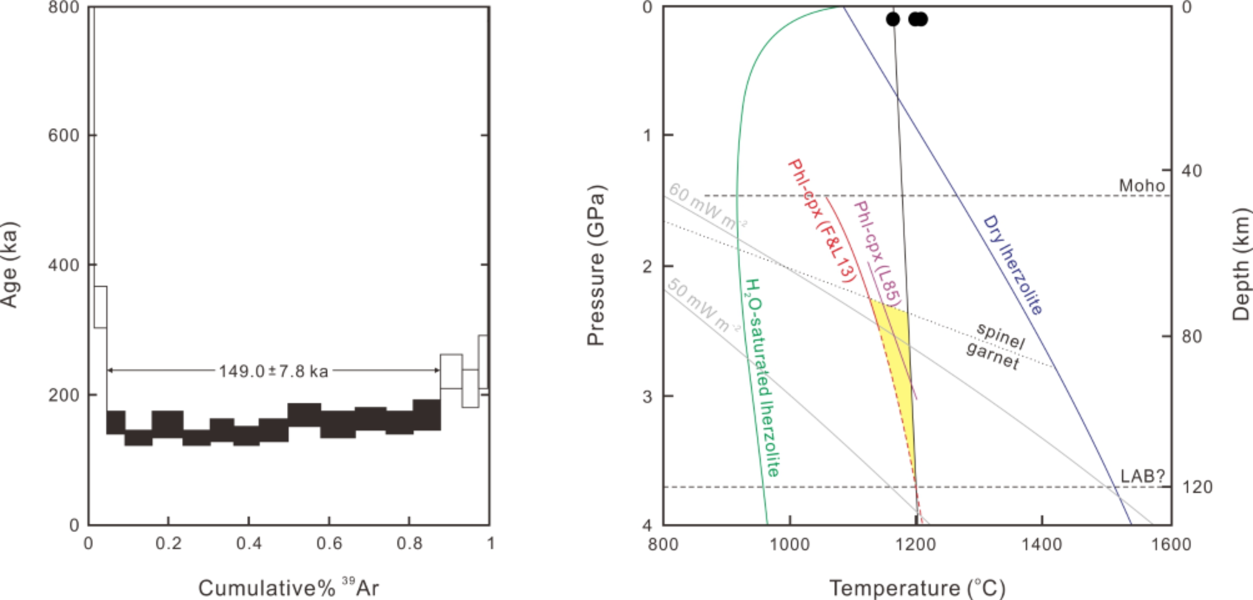
        以伊朗西南部火山地區為例作說明(Pang et al., 2015)。伊朗高原是阿拉伯-歐亞大陸碰撞造山帶的一部分(圖三)。利用氬氬同位素定年法,顯示火山岩形成約在12至15萬年前(圖四),由於阿拉伯-歐亞兩個大陸板塊的縫合早在漸新世開始,故岩漿形成於後碰撞構造環境。此外,從地球化學成份推論(表一),顯示岩漿屬超鉀質,源自岩石圈地函,為大陸板塊深部熔融的產物(圖四)。這例子說明一筆岩漿記錄是如何產生的,利用更多、覆蓋造山帶範圍更廣的岩漿記錄,有助於了解造山過程的時空變化,改善前人研究有缺失之觀點。(由中央研院地球科學研究所彭君能助研究員撰寫)
參考文獻:
Pang, K. N., S. L. Chung, Zarrinkoub, M. H., F. Wang, Kamenetsky, V. S. and H. Y. Lee, 2015. Quaternary high-Mg ultrapotassic rocks from the Qal’eh Hasan Ali maars, southeastern Iran: petrogenesis and geodynamic implications, Contributions to Mineralogy and Petrology 170: 27.



圖三、伊朗地區板塊構造示意圖。棕色區塊代表新生代火成岩,綠色星號代表採樣點。




圖四、(左)火山岩金雲母氬同位素階段升溫年代譜。此樣本定年結果約為150 ka,其它樣本之結果約為120 ka。(右)針對岩漿形成之溫度與壓力推測。紅色與紫色曲線代表金雲母斜輝石岩(經推測之地函源區)固相線,黃色區塊則代表岩漿源區溫壓條件。

表一、伊朗地區超鉀質火山岩地球化學特徵與推論。





Top